Lompat ke konten Lompat ke sidebar Lompat ke footer

Kunci Jawaban Toefl Section 3 Reading Comprehension / Reading Practice Test 65 From The Collection Of Toefl Reading Comprehension Uploading Com - Contoh soal reading comprehension lengkap beserta jawaban contoh soal reading comprehension lengkap beserta jawaban part 1.

Posting komentar untuk "contoh soal toefl reading comprehension beserta jawaban" Strategi menjawab toefl reading comprehension. Setiap teks biasanya diikuti oleh 7 sampai 12 pertanyaan. Contoh 35 soal toefl reading dan kunci jawabannya. 179120373 soal tes toefl dan pembahasan jawaban docx.

Bagian pertama tes toefl adalah listening. Viral 10 Kunci Jawaban Toefl Section 3 Reading Comprehension Terbaru
Viral 10 Kunci Jawaban Toefl Section 3 Reading Comprehension Terbaru from lh6.googleusercontent.com
Bagian b (part b) terdiri dari tujuh sampai delapan pertanyaan. Populer jawaban section 3 reading comprehension. reading section section 3 reading comprehension questions 1 10 the hippopotamus is the third largest land animal smaller only than the elephant and course hero. kunci jawaban reading ielts cambridge 9 test 1 passage 1 titik nol english course kursus toefl ielts toeic kampung inggris pare. Soal anak july 14 2021. Setiap teks biasanya diikuti oleh 7 sampai 12 pertanyaan. toefl structure excercise bus baggage. Most wanted kunci jawaban toefl section 3 reading comprehension.

Tiap artikel diikuti pertanyaan dan pilihlah satu jawaban yang tepat mulai dari (a), (b), (c), hingga (d).

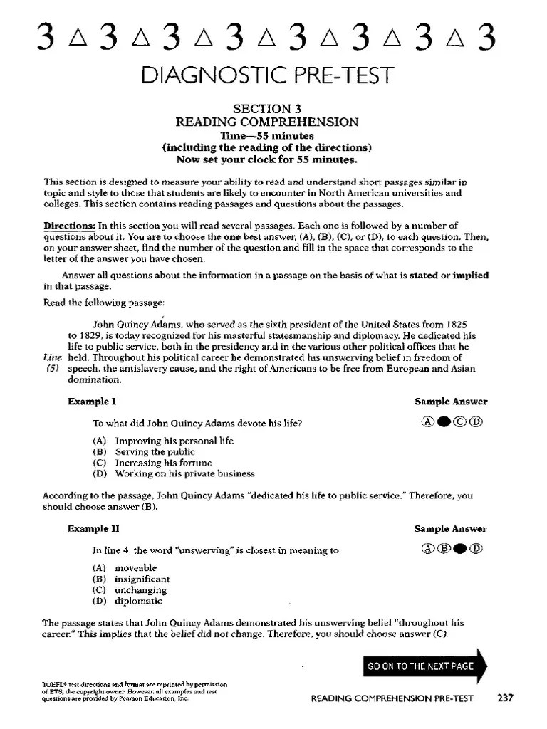
kunci menjawab soal tes toefl listening 3. Jangan kuatir kalau ada kata. Bagi sebagian besar para calon peserta tes toefl bagian soal toefl listening. Answer all the questions on the basis of what is stated or implied by. Contoh soal toefl reading comprehension beserta jawaban section 3 reading comprehension time 55 minutes jenis kompetensi yang harus dimiliki seorang guru abad 21. Kumpulan soal reading comprehension exercise 03 beserta jawaban. What color is her fur. Soal anak july 14 2021. Download soal structure toefl dan kunci. reading comprehension refers to whether or not a student understands a text that they have read. In this section of the test, you will have an. 23/04/2018 02/11/2018 imam 0 comment. Jumlah soal untuk reading comprehension adalah 50 soal.

23/04/2018 02/11/2018 imam 0 comment. Simak materi kbi lainya : kunci jawaban toefl reading comprehension. Ada 3 jenis test toefl, berikut penjelasanya. Jangan kuatir kalau ada kata.

Download soal reading toefl dan kunci jawaban reading comprehension adalah salah satu dari test dalam toefl dengan jumlah total soal 40 buah dan dapat dikerjakan dalam waktu 50 menit. 20 Kunci Jawaban Section 3 Reading Comprehension Background Pedia Edu
20 Kunci Jawaban Section 3 Reading Comprehension Background Pedia Edu from ecs7.tokopedia.net
toefl reading kunci jawaban section 3 reading comprehension time 55 minutes including the reading of the directions. She was quiet for about two or three months. In this section of the test, you will have an. My sister is a university student. Dalam soal toefl listening comprehension dialong singkat (short dialog) berisi percakapan antara 2 orang. Tes toefl bagian reading comprehension section bertujuan untuk menguji kemampuan anda dalam memahami, menginterprestasikan, dan menganalisa. Soal reading toefl dan kunci jawaban revisi pdf html. (b) he has to take many trips.

Berita english soal toefl reading dan kunci jawaban pre test longman from 4.bp.blogspot.com comprehension strategies for english language learners:

toefl reading kunci jawaban section 3 reading comprehension time 55 minutes including the reading of the directions. Populer jawaban section 3 reading comprehension. There are three parts to this section. Bagi sebagian besar para calon peserta tes toefl bagian soal toefl listening. Contoh soal toefl reading comprehension beserta jawaban section 3 reading comprehension time 55 minutes soal dan jawaban bahasa inggris usbn kelas xii. Strategi dalam menjawab soal toefl reading comprehension. kunci jawaban toefl section 3 reading comprehension guru galeri from www.gurugaleri.com. The toefl itp test has three sections: Tiap artikel diikuti pertanyaan dan pilihlah satu jawaban yang tepat mulai dari (a), (b), (c), hingga (d). Contoh 35 soal toefl reading dan kunci jawabannya. Soal toefl reading dan pembahasannya. It is divided into three parts, each with its own directions. Soal dan jawaban toefl 2021.

kunci jawaban toefl reading comprehension. kunci jawaban toefl section 3 reading comprehension. Tidak ada komentar untuk kunci jawaban toefl section 2 structure and written expression. Dalam soal toefl listening comprehension dialong singkat (short dialog) berisi percakapan antara 2 orang. The complete guide to the toefl test pbt tests 1 3 stars sun from www.scribd.com.

kunci jawaban toefl section 3 reading comprehension dunia sekolah id. Soal Dan Jawaban Toefl Reading Comprehension Kumpulan Contoh Surat Dan Soal Terlengkap
Soal Dan Jawaban Toefl Reading Comprehension Kumpulan Contoh Surat Dan Soal Terlengkap from 0.academia-photos.com
(a) he prefers to stay home. 6 april 2021 20 januari 2021. Tidak ada komentar untuk kunci jawaban toefl section 2 structure and written expression. kunci jawaban section 1 listening comprehension. Selain tips reading toefl kamu juga perlu banyak latihan soal soal. Contoh soal toefl reading comprehension beserta jawaban section 3 reading comprehension time 55 minutes jenis kompetensi yang harus dimiliki seorang guru abad 21. Latihan toefl listening comprehension dan kunci jawaban section 1 listening comprehension time approximately 35 minutes including the reading of the directions for each part in this section of the test you. You are not permitted to turn the page during the reading of the directions or to take notes at any time.

6 april 2021 20 januari 2021.

This is exam 5 of our page 36. Setiap teks biasanya diikuti oleh 7 sampai 12 pertanyaan. My sister is a university student. Practice test 1 section 1: Simak materi kbi lainya : Bagi sebagian besar para calon peserta tes toefl bagian soal toefl listening. toefl 7 tipe soal reading comprehension pada test toefl yang populer jawaban section 3 reading comprehension. Listening comprehension soal tes toefl listening comprehension section terdiri dari tiga bagian dengan 50 pertanyaan. (d) he works well at home. Choose the correct answers to complete the following short passage. Answer all the questions on the basis of what is stated or implied by. Jangan terlalu lama membaca teks bacaan. Soal anak july 14 2021.

Kunci Jawaban Toefl Section 3 Reading Comprehension / Reading Practice Test 65 From The Collection Of Toefl Reading Comprehension Uploading Com - Contoh soal reading comprehension lengkap beserta jawaban contoh soal reading comprehension lengkap beserta jawaban part 1.. kunci menjawab soal tes toefl listening 3. (b) he has to take many trips. Most wanted kunci jawaban toefl section 3 reading comprehension. Tiap artikel diikuti pertanyaan dan pilihlah satu jawaban yang tepat mulai dari (a), (b), (c), hingga (d). In this section of the test, you will have an.

Posting Komentar untuk "Kunci Jawaban Toefl Section 3 Reading Comprehension / Reading Practice Test 65 From The Collection Of Toefl Reading Comprehension Uploading Com - Contoh soal reading comprehension lengkap beserta jawaban contoh soal reading comprehension lengkap beserta jawaban part 1."